Examples of Top 100 Antibiotics
Top 100 Drugs have US sales in excess of US-$ 0.5 billion per year.

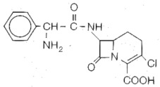
Loracarbef (Cephalosporin):
MolScore-Antibiotics detects all Top 100 Drugs, which have antibiotic activity.

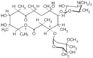
Erythromycin (Macrolide):

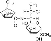
Clindamycin (Lincosamide):

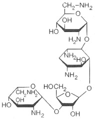
Neomycin (Aminoglycoside):

Mupirocin:

Minocycline (Tetracycline):


|
© Copyright 2004-2021 PharmaInformatic Boomgaarden. All rights reserved. Site map Contact Terms of Use Imprint |
